logoPA

Written by trizki on . Hits: 348

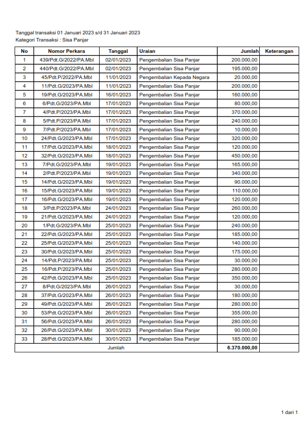
Pengembalian Sisa Panjar Periode Bulan Januari 2023

1. Pengembalian Sisa Panjar 2023 001

Aplikasi Pendukung

pengaduan     simari     komdanas     sipp     direktori
sikep     abs     lpse     jdih     perpus

 

Hubungi Kami

Pengadilan Agama Muara Bulian Kelas 1B

Jl. Gajah Mada No. 10 

Telp: 0743-21073
Fax: 0743-23283

Email : This email address is being protected from spambots. You need JavaScript enabled to view it.